正航整理不透性石墨材料力學性能試驗方法總則
文章來源:正航儀器 閱讀量: 發表時間:2023-03-04
正航整理不透性石墨材料力學性能試驗方法總則
1 范圍
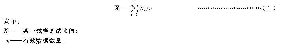
1.1本標準規定了不透性石墨材料力學性能試驗的取樣、試樣加工方法.以及對儀器設備、數據處理、試驗報告等的基本要求。
1.2 本標準適用于不透性石墨材料(塊材、管材、澆注件)的抗壓、抗拉、抗彎、抗沖擊、水壓爆破強度等力學性能的測定,也適用于石墨粘結劑材料的抗壓、抗拉、抗彎、抗剪切強度等力學性能的測定。
2 規范性引用文件
下列文件中的條款通過本標準的引用而成為本標準的條款。凡是注日期的引用文件,其隨后所有的修改單(不包括勘誤的內容)或修訂版均不適用于本標準,然而,鼓勵根據本標準達成協議的各方研究是否可使用這些文件的版本。凡是不注日期的引用文件,其版本適用于本標準。
GB/T 2611 試驗機通用技術要求
3 術語
3.1 不適性石墨
指用人造石墨和合成樹脂等材料,按一定生產工藝制成的介質難以滲透的石墨材料。
按照制造工藝的不同可分為三類z 浸漬類不透性石墨、壓型類不透性石墨、澆注類不透性石墨。
3. 2 有效試驗蚊據
指試驗時在試樣規定部位破壞所得到的試驗數據,簡稱有效數據。
4試樣制備
4.取樣
4.1塊材
4.1.1.1以相同原料、配方及生產工藝生產的同一規格不多于30 t 的石墨塊作為一批,隨機抽樣,抽樣數量不少于3 塊。
4.1.1.2 外購材料以同一時間、從同一生產廠家購進的同一規格材料為一批,隨機抽樣,抽樣數量不少于3 塊。
4. 1. 1. 3 最小截面不大于200 mm X 200 mm 的材料,在端部截去50 mm ,其余部分均可加工試樣。
4. 1. 1.4 最小截面大于200 mm X 200 mm 的材料,在各表層刨去50 mm ,其余部分均可加工試樣。
4.1.1.5 直徑不大于350 mm 的材料,在端部截去50 mm ,然后在中心直徑為100 mm 的圓柱體內取材加工試樣。
4.1.1.6 直徑大于350 mm 的材料,在端部截去50 mm ,然后在中心直徑為200 mm 的圓柱體內取材加工試樣。
4.1.2 管材
4.1.2.1 以同批原料、相同生產工藝生產的同一規格不透性石墨管為一批,隨機抽樣3 根~5 根。
4.1.2.2 外購不透性石墨管以同一時間、從同一生產廠家購進的同一規格材料為一批,隨機抽樣
3 根~5 根。
4.1.2.3 將管的兩端截去50 mm ,剩余部分用于加工試樣。
4.1.3 澆注件
按配方抽取所需原料,按生產工藝配制并澆注成石墨試樣。
4.1.4 桔結劑
4.1.4.1 按配方抽取所需原料,按生產工藝配制并澆注成石墨粘結劑澆注試樣。
4.1.4.2 按配方抽取所需原料,按生產工藝配制并將石墨件粘結成石墨粘結件試樣。
4.2 試樣加工
4.2.1 每組試樣須分別從所抽石墨材料中制取。
4.2.2 澆注試樣應進行熱固化處理,熱處理溫度按產品要求確定。
4.2.3 試樣加工時,除有特殊要求外,應使抗拉、抗壓試樣試驗時的受力方向與材料的成型壓力方向平行;使抗彎、抗沖擊試樣試驗時的受力方向與材料的成型壓力方向垂直。
4.2.4 先對所取石墨材料進行粗加工,然后按生產工藝進行浸漬,加工成試樣。
4.2.5 試樣加工(或澆注)尺寸按有關方法標準確定。
4.2.6 加工后試樣表面粗糙度須達Ra<3.2 μm ,
4.2.7 粘結劑試樣成型后不需再加工。
4.2.8 試樣表面應元氣泡、裂紋、砂眼、樹脂瘤等明顯缺陷。
4.2.9 對于抗彎試樣,表面不得有分離層。
5 設備和儀器
5.1 材料試驗機應符合GB/T 261 1.測量精度不低于l 級。
5.2 材料試驗機的量程應使試驗結果在其全量程的10%~90% 之間。
5.3 試驗所用的壓力表精度等級不低于0.4 級。
5.4 游標卡尺2 量程。~150 mm ,分度值。.02 mm 。
6 試驗
6.1 將試樣用廣告顏料或油漆作標記編號。
6.2 試樣尺寸測量到0.02 mm,
6.3 如無特殊要求,試驗應在室溫下進行。
6.4 每組試樣數量應為7 個,以保障有5 個有效數據。
7 試驗結果
7.1 用式(1)計算有效數據的算術平均值支,修約到三位有效數字。
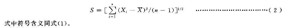
7.2 用式(2) 計算有效數據的標準差S ,保留三位有效數字。
7.3 用式(3)計算有效數據的變異系數C ,保留兩位有效數字。
式中符號含義同式(1)和式(2) 。
8 試驗報告
試驗報告應包括下列內容:
a) 試驗名稱、編號、送樣單位及送樣日期;
b) 儀器設備名稱、型號;
c) 試樣尺寸、數量;
d) 試驗加載速度,
e) 每個試樣的破壞載荷及破壞部位;
f)試驗結果:算術平均值X、標準差5 、變異系數c.,
g) 試驗日期及試驗人員。
本頁關鍵詞: 正航整理,不透性石墨材料力學性能試驗方法


